ABOUT ME

-

Today
-
Yesterday
-
Total
-
  • 물리 음향학: 분산 관계(dispersion relation) - 흡음과 분산 속도, 파동 방정식을 구한 그 다음은?
    오피쓴의 음향학라이프/물리 음향학(Physical Acoustics) 2021. 8. 29. 22:41

     

    음향 파동방정식은 음파의 전파를 기술하는 방정식입니다.

     

    음향 파동방정식을 유도하고 그 해를 구하면, 시간과 공간에 대해 음파가 어떻게 전파되는지 모두 알 수 있습니다.

     

    참 대단하죠?

     

    하지만 음향 파동방정식을 보고 있자면, 이상하게 답답한 마음이 듭니다.

     

    "이걸 어떻게 풀지?" 이런 생각이 듭니다.

     

     

    일반적으로는 유한요소해석(finite element method, FEM)을 통해, 음향 파동방정식의 해를 구합니다.

     

    잘 만들어진 상용 유한요소해석 소프트웨어(COMSOL Multiphysics, ANSYS 등)에 원하는 경계 조건과 초기 조건을 입력하여 음향 파동방정식의 해를 구합니다.

    (이에 대해서도 다루고 싶네요.)

     

    그러면 원하는 지점, 원하는 시간의 음압 및 입자속도 등 다양한 음향 물리량들을 구할 수 있습니다.

     

     

    하지만, 오늘은 유한요소해석 이야기를 하려는 것이 아닙니다.

     

    음향 파동방정식을 유도한 후, 직관적으로 음파의 전파양상을 파악하기에는 유한요소해석은 적절하지 않습니다.

     

    그래서 오늘은 분산 관계(dispersive relation)을 소개해드리려 합니다.

     

    다양한 음향 파동방정식에서 분산 관계 도출한다면, 반사가 없는 자유 음장(free field)에서 음파가 어떻게 전파할지 쉽게 알 수 있습니다.

     

    다시 말해, 음향 파동방정식에서 분산 관계를 알아내면, 대략적으로 음파의 전파 양상을 파악할 수 있습니다.

     

    아주아주 중요한 것입니다.

     

    그럼 시작하겠습니다.

     

    분산 관계(dispersion relation)


    분산 관계를 본격적으로 알아보기 전에, 먼저 알아야 할 것이 있습니다.

     

    반사가 없는 자유 음장에서, 음파의 전파 양상을 알기 위해서는 무엇을 알아야 할까요?

     

    정답은 크기(amplitudue)위상(phase)입니다.

     

    조금 더 직관적으로 말하자면, 흡음(absoption)위상 속도(phase velocity)만 알면 됩니다.

     

    흡음이 없다면, 음파의 크기는 줄지 않고 그대로 전파될 것입니다.

    (음파가 전파하면서 크기가 커지지는 않겠죠?)

     

    위상 속도는 같은 위상이 진행하는 속도입니다.

     

    일단 단순히, 음파의 전파 속도 정도로 생각합시다.

     

    음파의 속도를 알아야, 언제쯤 음파가 마이크로폰에 도착할지 알 수 있습니다.

     

    결과적으로 음파의 전파 양상은 흡음의 정도위상 속도만 알고 있으면 됩니다.

    (주의할 것은 자유 음장입니다. 반사 및 투과는 생각하지 않습니다!!)

     

     

    분산 관계를 도출하기 위한 큰 그림은 아래 그림과 같습니다.

     

    먼저, 준비물은 상황에 맞게 잘 만들어진 음향 파동방정식입니다.

    (음향 파동방정식 유도는 앞 글을 참조 바랍니다.)

     

    음향 파동 방정식에 일반 해를 대입합니다.

     

    이를 통해, 파수(wavenumber) k를 구할 수 있습니다.

     

    파수 k는 주파수의 함수로, 복소수입니다.

     

    이것이 바로 분산 관계(dispersion relation)입니다.

     

    k에서 허수 부분은 흡음 정도를 알려 주고, 실수 부분은 위상 속도를 알려줍니다.

     

    오, k가 흡음 정도와 위상 속도를 모두 알려주니, 위에 말한 것처럼 음파의 전파 양상을 대략적으로 알 수 있습니다.

     

    참 신기하죠?

     

    분산 관계 구하기(dispersion relation algorithm)

     

    실제 적용은 다음에 하도록 하고, 오늘은 분산 관계 k의 허수 부분과 실수 부분에 대해 조금 더 알아보겠습니다.

     

    아래 그림과 같이 일반 해에 k를 복소수 형태로 대입해보겠습니다.

     

    그리고 조금 정리를 해주면 아래 그림의 마지막 식이 나옵니다.

     

    분산 관계(dispersion relation)

    k의 허수 부분인 α에 대한 식을 봅시다.

     

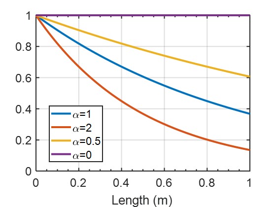
    아직 감이 오지 않나요? 아래 그림을 보시면 됩니다.

     

    α가 1, 2, 0.5, 0일 때, x에 대한 exp(-αx) 그래프를 나타낸 것입니다.

     

    α가 양수라면 거리에 따라 감소하는 것을 보실 수 있습니다.

    (음수라면 거리에 따라 음파의 크기가 커질 것입니다. 말이 안 되겠죠?)

     

    α가 1일 때, 1 m만 전파해도 음파의 약 60% 정도가 흡음으로 인해 사라지고 원래 크기의 40%만 남게 됩니다.

     

    α가 2일 때는 흡음의 정도가 커져, 1 m 전파했을 때 약 20% 수준으로 크기가 작아집니다. 흡음의 정도가 커졌습니다.

     

    α가 0일 때, 거리에 상관없이 1이 되면서, 전파 거리와 상관없이 똑같은 크기를 유지합니다.

     

    결론적으로 α는 거리에 따라 얼마나 흡음이 될지를 나타냅니다.

     

    따라서, α는 흡음 계수(absoprtion coefficient)로 불립니다.

    (정확히는 spatial absorption coefficient)입니다.

     

    단위는 neper/m입니다. 여기서 neper는 무차원입니다.

     

    거리에 따른 흡음 정도

     

     

    β는 위상 속도(phase velocity)에 대한 정보를 알려줍니다.

     

    정확히, 위상 속도 c_ph=ω/β입니다.

     

    이는 음속이 주파수의 영향을 받는 지를 알려줍니다.

     

    β=ω/c0 인 경우, 주파수에 상관없이 음파의 속도가 일정합니다.

     

    하지만, 다른 값인 경우 주파수와 음속이 비례할 수도, 반비례할 수도 있습니다.

     

    주파수와 음속이 비례하다는 것은, 주파수가 높을수록 음속이 빠르다는 것입니다.

     

    이렇게 음파의 전파 속도가 주파수에 영향을 받는 것을 분산파(dispersive wave)라고 합니다.

     

    아래 동영상은 분산파(파란색)와 비분사파(검은색)의 전파를 나타낸 것입니다.

     

    비분산파, 검은색 그래프는 모든 주파수가 같은 속도로 전파하기 때문에, 파형의 변화 없이 전파합니다.

     

    분산파, 파란색 그래프는 전파 속도가 주파수에 비례하기 때문에, 파형의 변화가 생깁니다.

     

    주파수별 전파 속도 차이 때문에, 그래프가 시간 축에 대해서 퍼지는 것을 볼 수 있습니다. 

     

    오늘은 여기까지입니다.

     

    분산파와 비분산파의 전파 비교(wave in dispersive medium)(https://www.acs.psu.edu/drussell//Demos/Dispersion/dispersion.html)

    [참고 문헌]

    1. D. T. Blackstock, "Fundamental of Physical Acoustics" John Wiley & Sons, New York (2000)


    추가로, α와 β는 독립적이지 않고 관계가 있다고 합니다.

     

    이를 Kramers-Kroning relations라고 하는데, 잘 모릅니다..

    댓글

Copyright 2024 Seonghun Im All rights reserved.